Beam Formulas
Beam formulas may be used to determine the deflection, shear and bending moment in a beam based on the applied loading and boundary conditions.
Reference Documents:
- Formulas for Stress and Strain, Roark & Young, McGraw-Hill
- Formulas for Stress, Strain, and Structural Matrices, Pilkey, John Wiley & Sons.
Common Beam Formulas:
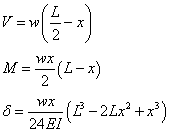
PINNED-PINNED BEAM WITH UNIFORM LOAD |
![]() |
FIXED-FIXED BEAM WITH UNIFORM LOAD |
|
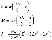
PINNED-FIXED BEAM WITH UNIFORM LOAD |
|
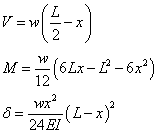
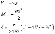
![]() FREE-FIXED BEAM WITH UNIFORM LOAD |
|
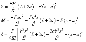
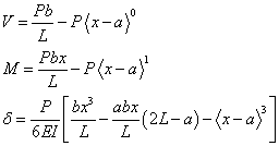
PINNED-PINNED BEAM WITH POINT LOAD |
See definitions of < > step functions below. |
FIXED-FIXED BEAM WITH POINT LOAD |
See definitions of < > step functions below. |
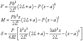
PINNED-FIXED BEAM WITH POINT LOAD |
See definitions of < > step functions below. |
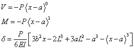
FREE-FIXED BEAM WITH POINT LOAD |
See definitions of < > step functions below. |
|
Legend: w = uniform load (force/length units) |
If x < a then < x - a >0 = 0 |

